对于志在冲击英美顶尖名校理工科的初高中生,物理碗竞赛(Physics Bowl)无疑是学术背景提升的”黄金跳板“!这项由美国物理教师协会(AAPT)主办的全球顶尖赛事,凭借其高含金量、高获客率及名校认可度,已成为物理竞赛圈的”顶流“。

物理碗(hysics Bowl)始于1985年,是全球影响力最大大的高中生物理竞赛之一,每年吸引全球11个国家超500所顶尖高中的近万名学生参与。竞赛分为Division1(D1)和Division2(D2),覆盖力学、电磁学、光学、现代物理等核心领域,注重考察学生的逻辑推理、建模能力与解题速度。
MIT、牛津、剑桥等顶级名校确认认可物理碗竞赛成绩,全球TOP100选手中37%被美国TOP30大学录取
中国学生若获全国金奖(前10%)或全球前100名,可直接提升英美名校理工科申请竞争力。
竞赛内容与AP物理/1/2/C、A-Level、IB课程高度重合,备赛过程和同步提升课内成绩;
45分钟限时答题,显著锻炼时间管理、抗压能力与英文阅读速度,为SAT/ACT等标化考试奠基。
| 奖项 | Division1分数线 | Division2分数线 |
| 全球前100名 | 30+ | 37+ |
| 全国金奖(前10%) | 25+ | 27+ |
| 全国银奖(前25%) | 20+ | 22+ |
| 全国铜奖(前35%) | 17+ | 19+ |
注:2023年D1平均分15.2,D2平均分17.3,中国学生分数普遍高于全球平均水平。
瀚衡研学社 咨询老师 Vx:xueyecareer_wang
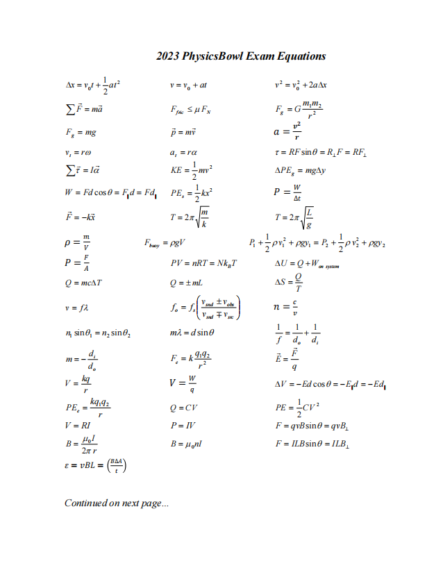
【物理碗必备公式】

获悉竞赛题型:通过历年真题练习,熟悉物理碗的真题和难度。
【物理碗历年真题+解析】

提升解题速度:物理碗竞赛时间有限,提升解题速度和准确率是关键
如果你想了解更多关于物理碗竞赛的课程信息,欢迎添加咨询老师Vx:xueyecareer_wang咨询,或关注公众号:翰衡研学社,物理碗竞赛历年真题资料等你来获取~